Home
Races
▼
Tour de France
Giro d'Italia
La Vuelta ciclista a España
World Championships
Milano-Sanremo
Amstel Gold Race
Tirreno-Adriatico
Liège-Bastogne-Liège
Il Lombardia
La Flèche Wallonne
Paris - Nice
Paris-Roubaix
Volta Ciclista a Catalunya
Critérium du Dauphiné
Tour des Flandres
Gent-Wevelgem in Flanders Fields
Clásica Ciclista San Sebastián
Teams
▼
XDS Astana Team
UAE Team Emirates - XRG
Team Visma | Lease a Bike
Team Picnic PostNL
Team Jayco AlUla
Soudal Quick-Step
Red Bull - BORA - hansgrohe
Movistar Team
Lidl - Trek
INEOS Grenadiers
Groupama - FDJ
EF Education - EasyPost
Decathlon AG2R La Mondiale Team
Cofidis
Bahrain - Victorious
Arkéa - B&B Hotels
Alpecin - Deceuninck
Intermarché - Wanty
Rankings
Statistics
▼
Overview
Riders
Teams
Grand tours
Game
Quiz
More
▼
Riders
Contact us
Countdown to 5 billion pageviews
Favorite500
About us
Sitemap
Profile Score
Terminology list
Pro
▼
Dashboard
Lists
Account
▼
My account
My riders
Road
▼
Cross
PREV
«
Stage 1 | Sidoarjo-Sidoarjo
Stage 2 | Pendopo Trowulan-Trawas
Final GC
Points classification
Mountains classification
Teams classification
NEXT
»
2013
2014
2013
2012
2011
2010
2009
2008
2007
2006
2005
Results
Startlist
▼
Startlist
Stage winners
History
▼
Overview
Winners
Most wins
Info
▼
Complementary results
Penalties & Fines
Finish photo
Profiles
Time table
Live
Game
Stats
More
▼
Report
Embed
Contribute info
Contribute results
Contribute site(s)
Tour of East Java
»
2014
»
Stage 2
»
Profiles
2014 »
Tour of East Java
(2.2)
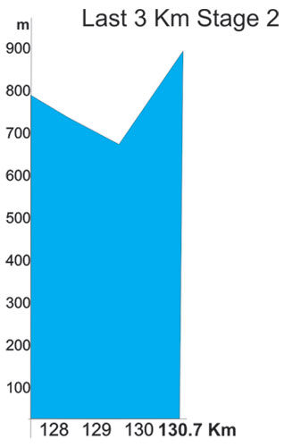
Stage 2 (Final)
»
Pendopo Trowulan › Trawas
(130.7km)
2014 | Stage 2 (Final)
Pendopo Trowulan › Trawas
(130.7km)
menu
Profiles
Profiles for this race/stage.
All stage profiles
Overview map
Profile
Map
Finish profile
back to content
Menu
Complementary results
Penalties & Fines
Finish photo
Key events
Route
Profiles
Time table
Local circuit